Open and Accurate Air Quality Monitors
We design professional, accurate and long-lasting air quality monitors that are open-source and open-hardware so that you have full control on how you want to use the monitor.
Learn MoreMeasuring CO2 indoors as well outdoors has very different use cases. Indoors it can give you a good indication how well your house is ventilated and high CO2 values can impact cognitive performance. Outdoors, measuring CO2 can give you an indication on local emission sources that contribute to climate change.
When it comes to low cost CO2 sensors, there are basically three different methods to measure CO2.
The first method via TVOC sensors is extremely unreliable. Some TVOC sensors like the Sensirion SGP30 estimate CO2 via organic components in the air. When you breathe out, you add organic components to the air which these sensors pick up and try to calculate a corresponding CO2 ppm value. The problem is that also other indoor sources like deodorizers add these chemical components to the air and thus the estimated CO2 rises -even though nobody might be in the room. We strongly advise against using TVOC sensors for CO2 estimation and thus will also not analyse it further in the rest of this article.
Both NDIR as well as photo-acoustic sensors are much more accurate than eCO2 from TVOC sensors as these sensors measure the CO2 directly and both are based on the absorption principle of gases. Different gases absorb light at specific ranges of wavelengths. So if the light is tuned at a certain wavelength and a receiver measures the incoming light levels, the rate of absorption can be calculated and with this the concentration of the gas established.
Different gases have different absorption bands:

To measure CO2, the light is tuned to emit a light of close to 4.26 micron (μm) which corresponds to the absorption of CO2.
NDIR stands for "nondispersive infrared" and is a common technology to measure CO2. Thereby an infrared light emitter, typically an LED, sends light in a chamber filled with ambient air to a receiver.

Some NDIR sensors have dual channels, one for the measurement of the CO2 levels in the ambient air and one with a control gas as a reference. This allows to detect drifts in the measurements and increases accuracy. One of the disadvantages of NDIR sensors is their size. There needs to be a certain minimum distance between the light emitter and receiver to achieve a certain level of accuracy and thus modern NDIR sensors like the SenseAir S8 that we use in our air quality kits are more than 3 cm long. This is not too big but would prevent certain applications, e.g. in a mobile phone.
Photo-acoustic sensors use the same working principle of the absorption wavelengths but unlike the NDIR sensors that measure the receiving light from an emitting LED, photo accoustic sensors measure the absorption with a microphone. When the CO2 molecules absorb the IR light, they start to "humm" and this sound can be picked up by a microphone. The biggest advantage of this principle is that the detection does not rely on line-of-sight anymore and thus these sensors can be built much smaller. Some are smaller than 1 cm3.

Below is a comparison of typical NDIR and Photo-Acoustic sensor modules based on their official specifications.
| Criteria | Sensirion SCD 41 | SenseAir S8 | Infineon XENSIV PAS |
|---|---|---|---|
| Working Principle | Photo-Acoustic | Optical NDIR | Photo-Acoustic |
| Accuracy | ±(40 ppm + 5 %) | ±(75 ppm +3%) | ±50 ppm ±5% |
| Range | 400 ppm – 5000 ppm | 400 ppm – 5000 ppm | 400 - 3000 ppm |
| Working Temperature | -10 - +60 °C | 0 - +50 °C | |
| Connectivity | I2C | UART | UART, I2C, PWM |
| Size | 10.1 x 10.1 x 6.5 mm | 33.5 x 20.0 x 8.5 mm | 14 x 13.8 x 7.5 mm |
| Picture | ![]() | ![]() | ![]() |
Except for the size and connectivity, the specs are quite similar. They do also cost around the same (USD 10 - 25).
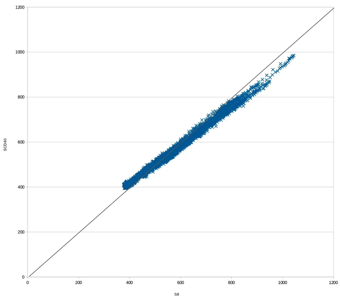
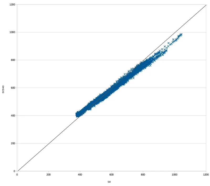
We tested the SenseAir S8 and Sensirion SCD40 / SCD41 for a few weeks and saw them behaving very similarly. Below is a chart over 14 days in a typical indoor home environment (bedroom).

Both sensors deliver very reliable results and the only difference that can be spotted is that the S8 seems to be a bit more sensitive and picks up higher values more. This can be seen on an X Y chart:

We do also measure CO2 levels outdoors with our outdoor monitor Open Air, and it helps to detect local emission sources. As part of that development we also tested photo-acoustic CO2 sensors outdoors in collaboration with researchers from the University of Cambridge.
Outdoor measurement of CO2 is more challenging due to mainly two reasons:
Firstly, there is a much larger range of temperature and humidity that the sensor is directly exposed to. For example indoor temperatures normally range between 15 and 25 degrees Celsius whereas outside we could have a range from -30 to +45 degrees Celsius of environmental conditions.
Secondly, the typical CO2 concentration levels outdoor are in the range of 400 to 550 ppm (higher in rural areas) whereas indoors you typically have a range of 400 to up to 3000ppm. In general, it is often easier for sensors to measure higher concentrations because there are more molecules or particles that can be detected.
Below is a comparison of two SenseAir S8 and two Sensirion SCD40 sensors compared to a CO2 reference instrument. All sensors have been offset to the same starting point.

We can observe a few interesting things:
These observations can also be easily shown in the R2 comparisons. R2 is a mathematical number showing the degree of correlation between two number. A number of 1 indicates a perfect correlation, where as a number of 0 indicates no correlation at all. In terms of accuracy we want to get as close to one as possible.
First let's compare the two sensor pairs:
| R2 between S8 | R2 between SCD 41 |
|---|---|
| 0.90 | 0.36 |
These number clearly indicate that the S8 sensors have a much higher agreement with each other than the photo acoustic sensors.
Now lets look at the comparison with the reference instrument.
| Sensor | R2 |
|---|---|
| S8 -1 | 0.69 |
| S8 -2 | 0.64 |
| SCD -1 | 0.16 |
| SCD -2 | 0.24 |
Also, here we see that the S8 has a much higher correlation with the reference instrument compared to the photo acoustic sensors. By the way in more comprehensive (and ongoing) tests, the S8 actually achieves correlations with reference instruments above 0.9 and thus even better than the above numbers indicate.
By the way all of the above observations can also be seen clearly in the X Y comparison between the point the sensor measures and the reference.

We can see that the S8 dots (red and blue) are much closer to the 1:1 line than the dots from the photo-acoustoc sensors.
We have been using the SenseAir S8 in our air quality monitors for many years now and have made very good experience with. The Sensirion SCD4x seems to give a similar accuracy under normal indoor conditions but seems to be more impacted by environmental conditions and is not recommended for outdoor usage.

We design professional, accurate and long-lasting air quality monitors that are open-source and open-hardware so that you have full control on how you want to use the monitor.
Learn MoreCurious about upcoming webinars, company updates, and the latest air quality trends? Sign up for our weekly newsletter and get the inside scoop delivered straight to your inbox.
Join our Newsletter